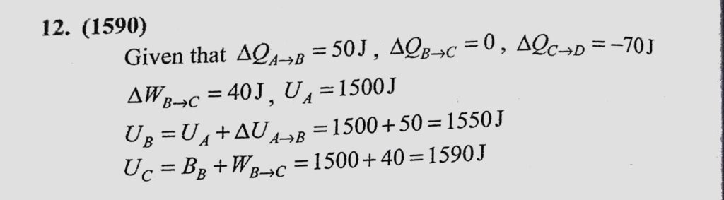
A sample of an ideal gas is taken through a process ABCD. It absorbs 50 J of energy during the process AB which is an isometric process, no heat during BC and it rejects 70 J of A sample of an ideal gas is taken through a process ABCD. It absorbs 50 J of energy during the process AB which is an isometric process no heat during BC and it rejects 70 J of October 29, 2020 Category: Uncategorised (JEE Advanced Physics by BM Sharma + GMP Solutions) , Facebook Messenger WhatsApp Share this:TwitterFacebook Related