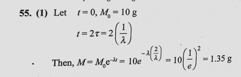
A sample of a radioactive element has a mass of 10 g at an instant t = 0. The approximate mass of this element in the sample after two mean lives is A sample of a radioactive element has a mass of 10 g at an instant t = 0. The approximate mass of this element in the sample after two mean lives is October 18, 2020 Category: Uncategorised (JEE Advanced Physics by BM Sharma + GMP Solutions) , Facebook Messenger WhatsApp Share this:TwitterFacebook Related