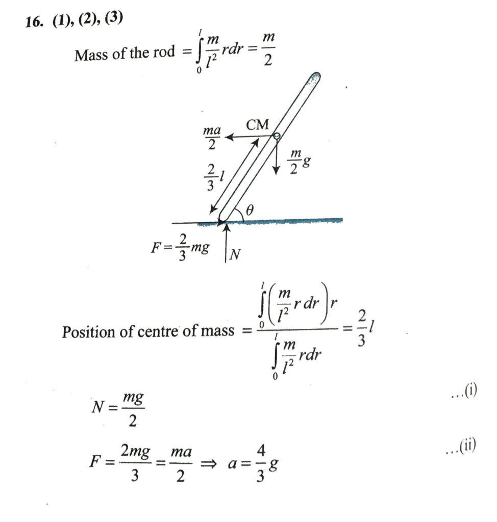
A rod placed in vertical plane is being pushed along a smooth horizontal surface by a horizontal force F = 2mg /3. Mass per unit length of the rod is given lamda (r) = [ m / l^2 r ]. where r is distance from the action point of applied force F and l is the length of the rod. Then ,


