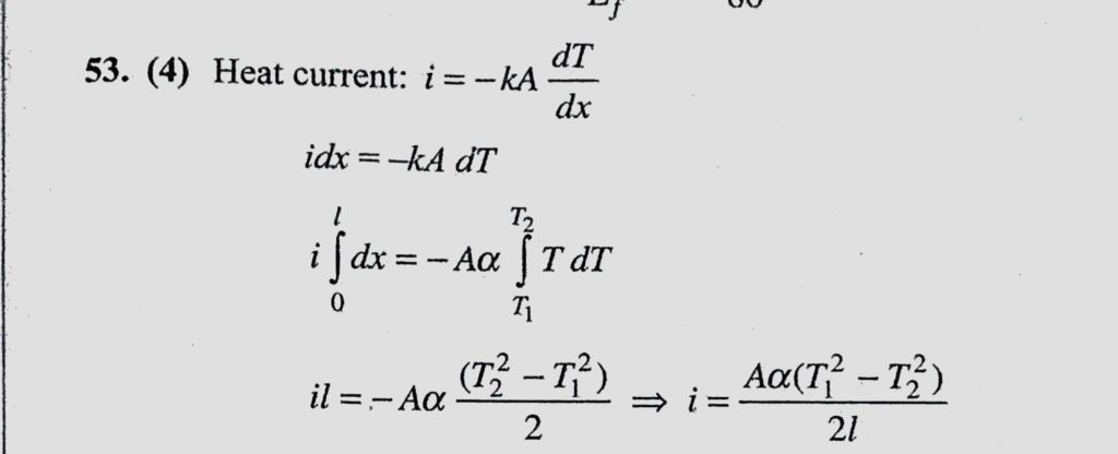
A rod of length l and cross-sectional area A has a variable conductivity given by K = alpha T, where alpha is a positive constant and T is temperature in kelvin. Two ends of the rod A rod of length l and cross-sectional area A has a variable conductivity given by K = alpha T where alpha is a positive constant and T is temperature in kelvin. Two ends of the rod October 25, 2020 Category: Uncategorised (JEE Advanced Physics by BM Sharma + GMP Solutions) , Facebook Messenger WhatsApp Share this:TwitterFacebook Related