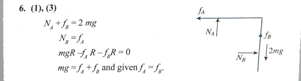
A rod bent at right angle along its centre line is placed on a rough horizontal fixed cylinder of radius R as shown in the figure. Mass of the rod is 2m and the rod is in equilibrimu. Assume that the friction force on rod at A and B is equal in magnitude.

