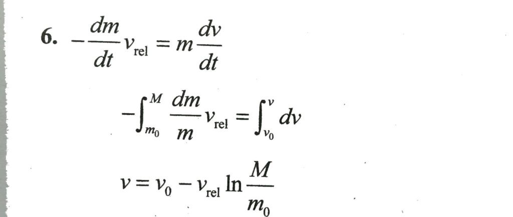
A rocket has initial velocity v0 and mass m0 . if it taravels in free space , find the velocity of the rocket as the function of its existing mass M. Assume that the rocket expels the fuel with a velocity urel with respect to itself. A rocket has initial velocity v0 and mass m0 . if it taravels in free space find the velocity of the rocket as the function of its existing mass M. Assume that the rocket expels the fuel with a velocity urel with respect to itself. September 22, 2020 Category: Uncategorised (JEE Advanced Physics by BM Sharma + GMP Solutions) , Facebook Messenger WhatsApp Share this:TwitterFacebook Related