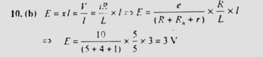
A resistance of 4 Ω and a wire of length 5 meters and resistance 5 Ω are joined in series and connected to a cell of e.m.f. 10 V and internal resistance 1 Ω. A parallel combination of two identical cells is balanced across 300 cm of wire. The e.m.f. E of each cell is

