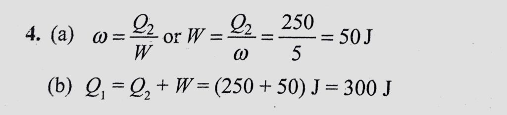
A refrigerator whose coefficient of performance is 5, extracts heat from the cooling compartment at the rate of 250 J/cycle. (a) How much work per cycle is required to operate A refrigerator whose coefficient of performance is 5 extracts heat from the cooling compartment at the rate of 250 J/cycle. (a) How much work per cycle is required to operate October 28, 2020 Category: Uncategorised (JEE Advanced Physics by BM Sharma + GMP Solutions) , Facebook Messenger WhatsApp Share this:TwitterFacebook Related