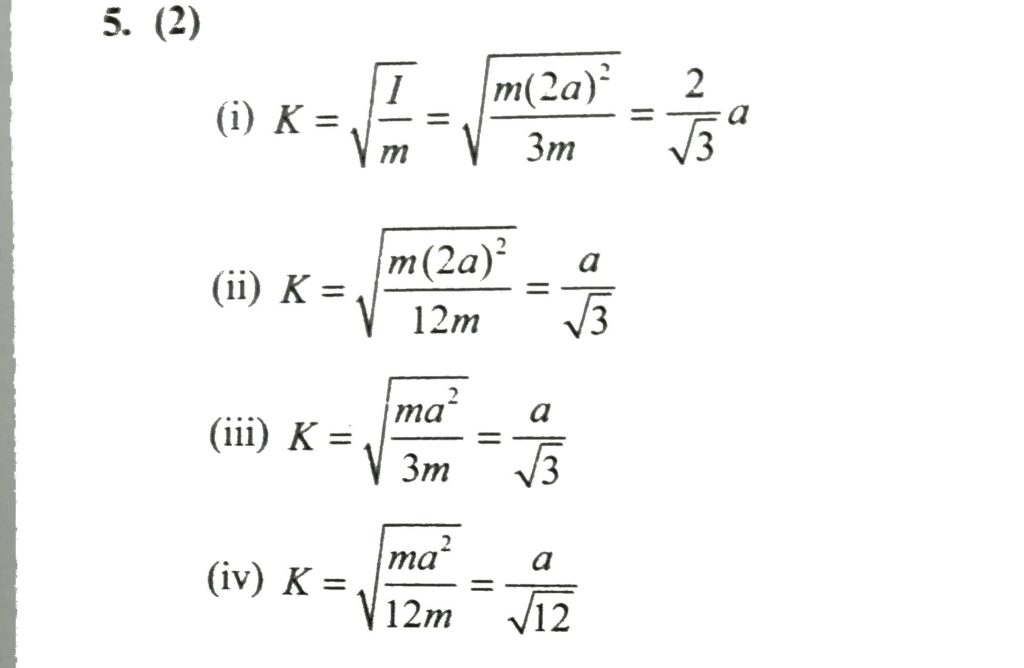
A rectangular slab ABCD have dimensions a x 2a as shown in figure. Match the following two columns. A rectangular slab ABCD have dimensions a x 2a as shown in figure. Match the following two columns. September 26, 2020 Category: Uncategorised (JEE Advanced Physics by BM Sharma + GMP Solutions) , Facebook Messenger WhatsApp Share this:TwitterFacebook Related