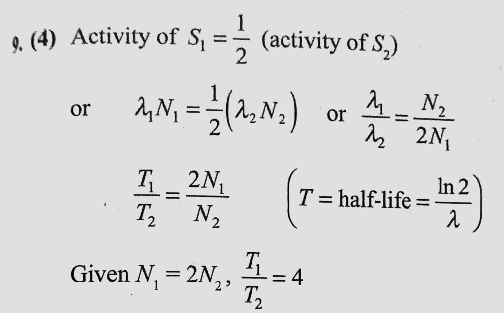
A radioactive sample S1 having an activity of 5 muCi has twice the number of nuclei as another sample S2 which has an activity of 10 muCi. Find the ratio of the half lives of S1 and S2. A radioactive sample S1 having an activity of 5 muCi has twice the number of nuclei as another sample S2 which has an activity of 10 muCi. Find the ratio of the half lives of S1 and S2. October 20, 2020 Category: Uncategorised (JEE Advanced Physics by BM Sharma + GMP Solutions) , Facebook Messenger WhatsApp Share this:TwitterFacebook Related