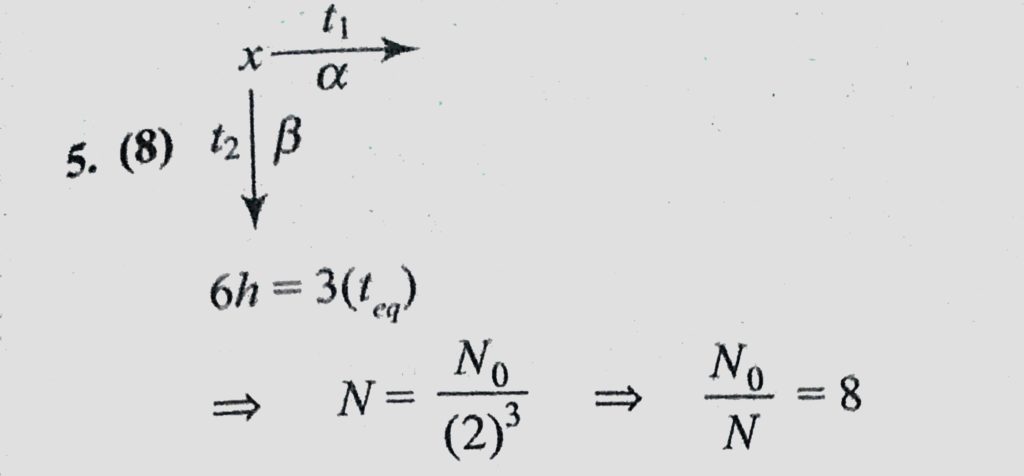
A radioactive sample decays through two different decay processes alpha decay and beta decay. Half-life time for alpha decay is 3 h and half-life time for beta decay is 6 h. What will be the ratio of number In Column 1 some of the nuclear reactions are given. Match this with the energy involved in these reactions in Column 2. October 20, 2020 Category: Uncategorised (JEE Advanced Physics by BM Sharma + GMP Solutions) , Facebook Messenger WhatsApp Share this:TwitterFacebook Related