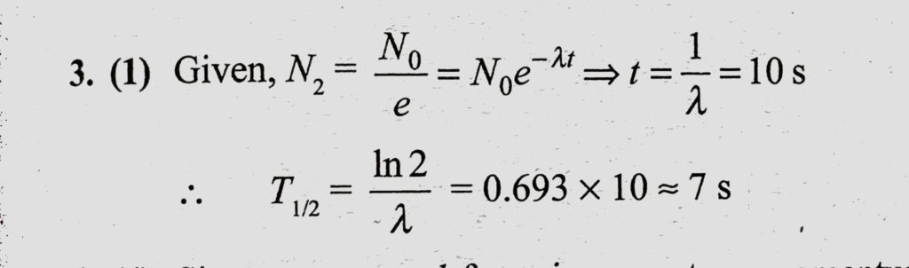
A radioactive sample decays by 63% of its initial value in 10 s. It would have decayed by 50% of its initial value in A radioactive sample decays by 63% of its initial value in 10 s. It would have decayed by 50% of its initial value in October 17, 2020 Category: Uncategorised (JEE Advanced Physics by BM Sharma + GMP Solutions) , Facebook Messenger WhatsApp Share this:TwitterFacebook Related