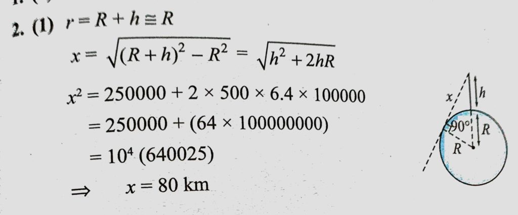
A radar has a power of 1kW and is operating at a frequency of 10 GHz. It is located on a mountain top of height 500 m. The maximum distance upto which it can detect object A radar has a power of 1kW and is operating at a frequency of 10 GHz. It is located on a mountain top of height 500 m. The maximum distance upto which it can detect object October 23, 2020 Category: Uncategorised (JEE Advanced Physics by BM Sharma + GMP Solutions) , Facebook Messenger WhatsApp Share this:TwitterFacebook Related