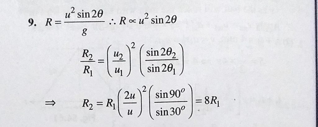
A projectile thrown with an initial speed u and the angle of projection 15 to the horizontal has a range R. If the same projectile is thrown at an angle of 45 to the horizontal with speed 2u, what will be A projectile thrown with an initial speed u and the angle of projection 15 to the horizontal has a range R. If the same projectile is thrown at an angle of 45 to the horizontal with speed 2u what will be September 21, 2020 Category: Uncategorised (JEE Advanced Physics by BM Sharma + GMP Solutions) , Facebook Messenger WhatsApp Share this:TwitterFacebook Related