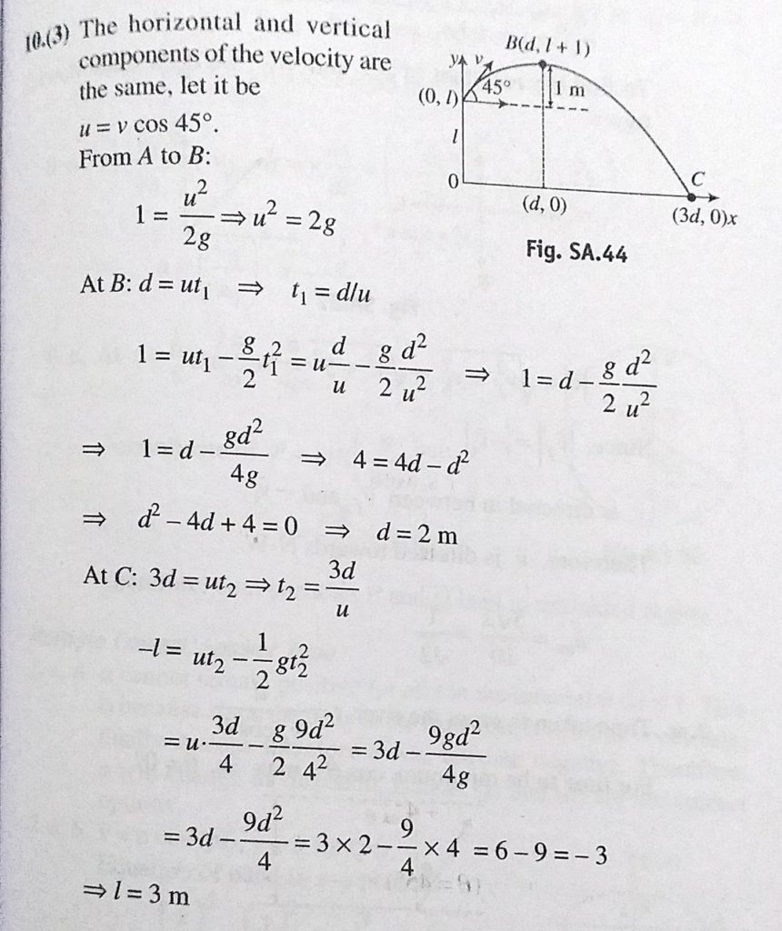
A projectile is launched at time t = 0 from point A which is at height 1 m above the floor with speed v m/s and at an angle theta = 45 with the floor. It passes through a hoop at B A projectile is launched at time t = 0 from point A which is at height 1 m above the floor with speed v m/s and at an angle theta = 45 with the floor. It passes through a hoop at B September 25, 2020 Category: Uncategorised (JEE Advanced Physics by BM Sharma + GMP Solutions) , Facebook Messenger WhatsApp Share this:TwitterFacebook Related