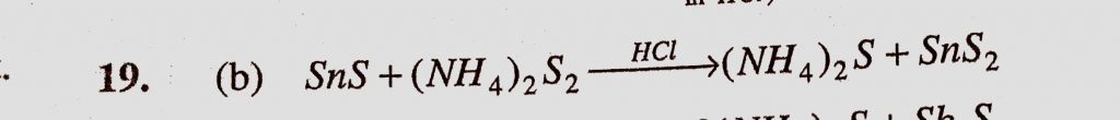
A precipitate of the following would be obtained when HCl is added to a solution of stannous sulphide (SnS) in yellow ammonium sulphide A precipitate of the following would be obtained when HCl is added to a solution of stannous sulphide (SnS) in yellow ammonium sulphide December 6, 2020 Category: Uncategorised (JEE Advanced Physics by BM Sharma + GMP Solutions) , Facebook Messenger WhatsApp Share this:TwitterFacebook Related