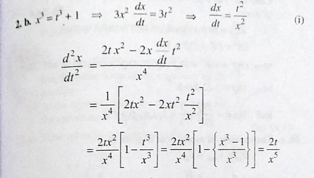
A point moves such that its displacement as a function of time is given by x ^3 = t^3 + 1. Its acceleration as a function of time t will be A point moves such that its displacement as a function of time is given by x ^3 = t^3 + 1. Its acceleration as a function of time t will be September 24, 2020 Category: Uncategorised (JEE Advanced Physics by BM Sharma + GMP Solutions) , Facebook Messenger WhatsApp Share this:TwitterFacebook Related