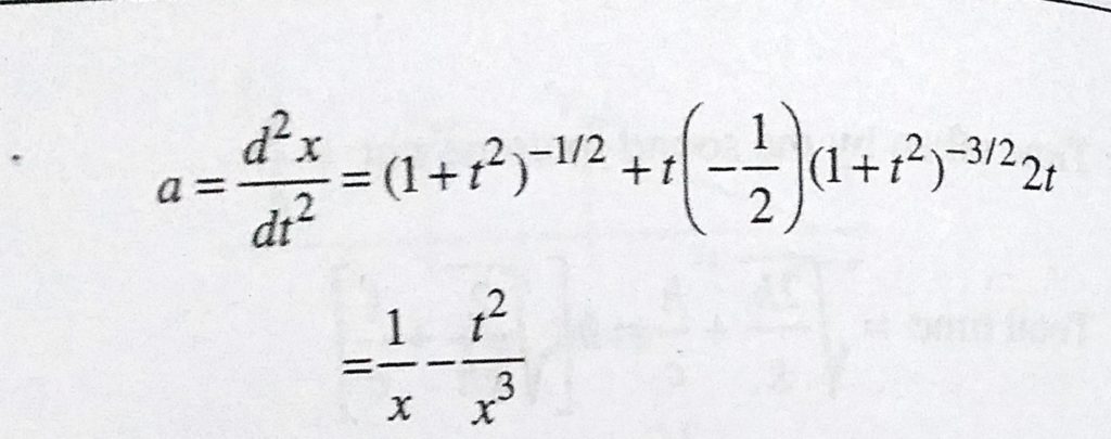
A point moves in a straight line so that its displacement x metre at time t second is given by x^2 = 1 + t^2. Its acceleration in m/s^2 at time t second is A point moves in a straight line so that its displacement x metre at time t second is given by x^2 = 1 + t^2. Its acceleration in m/s^2 at time t second is September 19, 2020 Category: Uncategorised (JEE Advanced Physics by BM Sharma + GMP Solutions) , Facebook Messenger WhatsApp Share this:TwitterFacebook Related