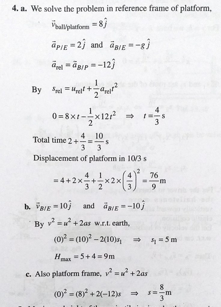
A platform is moving upwards with a constant acceleration of 2 m/s^2. At time t = 0, a boy standing on the platform throws a ball upwards with a relative speed of 8 m/s. At this instant, platform was at the height of 4 m from the ground and was moving with a speed of 2 m/s.

