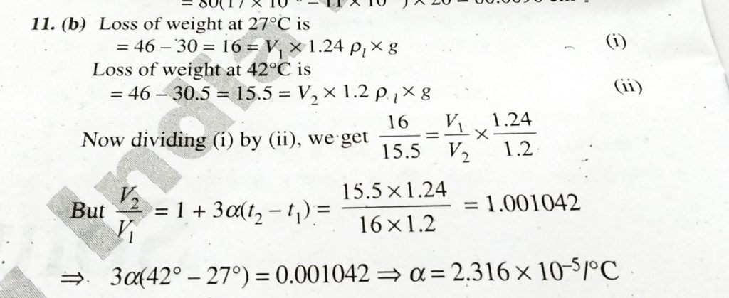
A pices of metal weighs 46 g air. When it is immersed in a liquid of specific gravity 1.24 at 27∘C, it weighs 30g. When the temperature si raised to 42∘C, the metal piece weighs 30.5 g. If the specific gravity of the liquid at 42∘C is 1.20, the coefficient of linear expansion of the metal is

