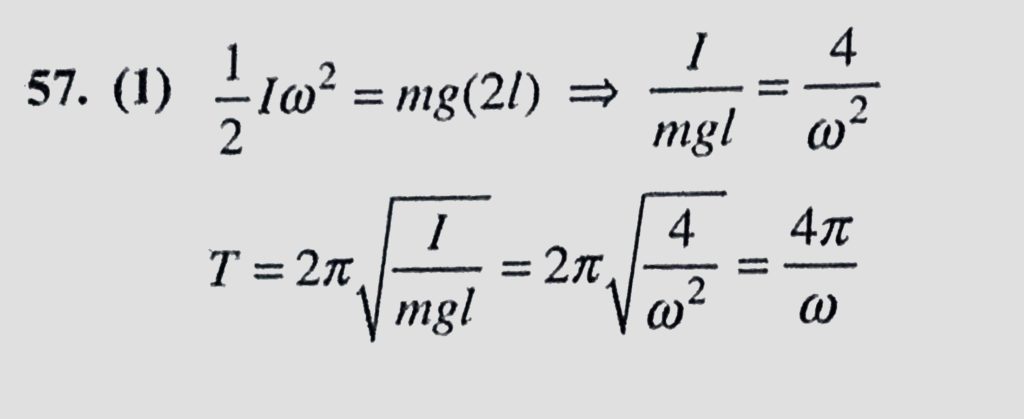
A physical pendulum is positioned so that its centre of gravity is above the suspension point. When the pendulum is released it passes the point of stable equilibrium with an A physical pendulum is positioned so that its centre of gravity is above the suspension point. When the pendulum is released it passes the point of stable equilibrium with an October 31, 2020 Category: Uncategorised (JEE Advanced Physics by BM Sharma + GMP Solutions) , Facebook Messenger WhatsApp Share this:TwitterFacebook Related