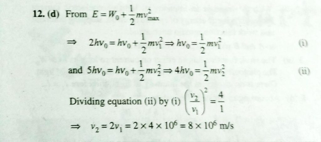
A photosensitive metallic surfaces has work function hv0 . If photon of 2 hv0 fall on the surface ,the electrons come out with a maxiumum velocity of 4×106m/s . If energy of photon is increased to 5 hv0 , the maximum velocity of photo electrons will be :

