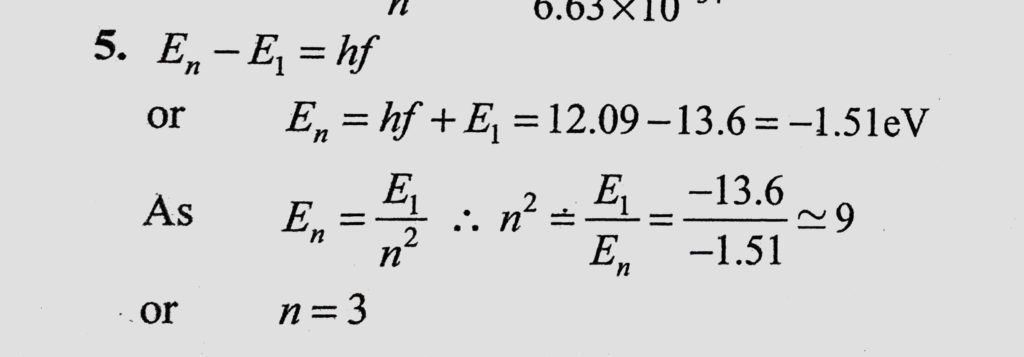
A photon of energy 12.09 eV is absorbed by an electron in ground state of a hydrogen atoms. What will be the energy level of electron? The energy of electron in the ground state of hydrogen A photon of energy 12.09 eV is absorbed by an electron in ground state of a hydrogen atoms. What will be the energy level of electron? The energy of electron in the ground state of hydrogen October 15, 2020 Category: Uncategorised (JEE Advanced Physics by BM Sharma + GMP Solutions) , Facebook Messenger WhatsApp Share this:TwitterFacebook Related