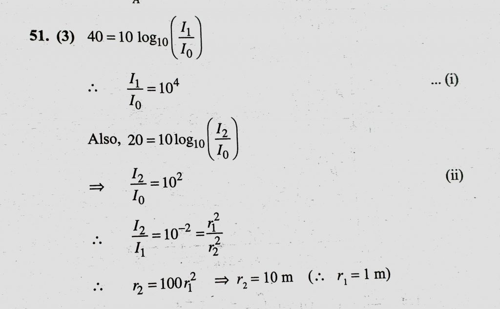
A person speaking normally produces a sound of intensity 40 dB at a distance of 1 m. If the threshold intensity for reasonable audibility is 20 dB, the maximum distance at which A person speaking normally produces a sound of intensity 40 dB at a distance of 1 m. If the threshold intensity for reasonable audibility is 20 dB the maximum distance at which November 7, 2020 Category: Uncategorised (JEE Advanced Physics by BM Sharma + GMP Solutions) , Facebook Messenger WhatsApp Share this:TwitterFacebook Related