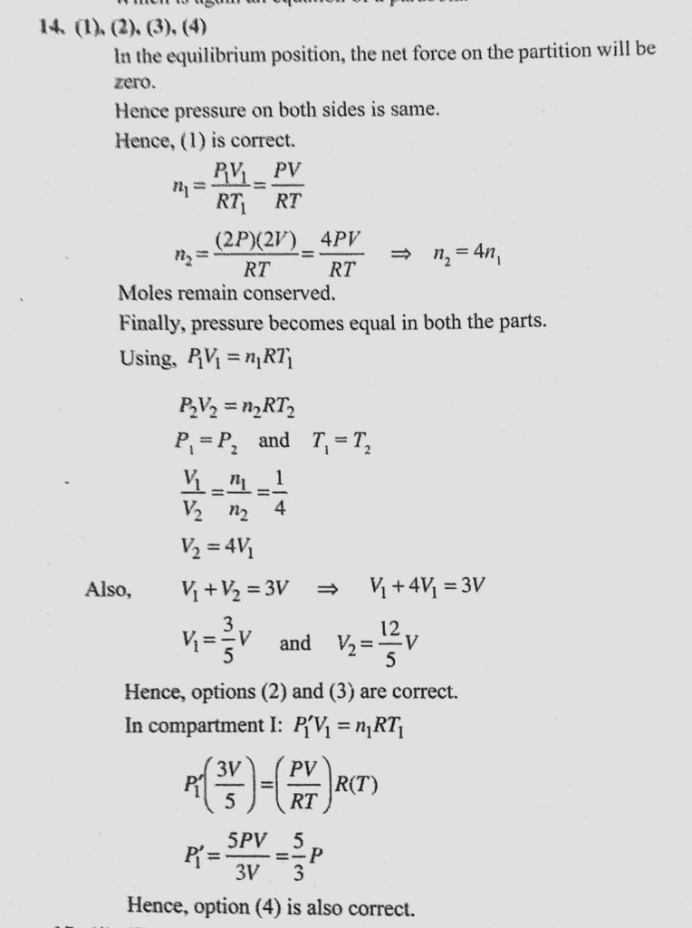
A partition divides a container having insulated walls into two compartments 1 and 2. The same gas fills the two compartments whose initial parameters are given. The partition A partition divides a container having insulated walls into two compartments 1 and 2. The same gas fills the two compartments whose initial parameters are given. The partition October 28, 2020 Category: Uncategorised (JEE Advanced Physics by BM Sharma + GMP Solutions) , Facebook Messenger WhatsApp Share this:TwitterFacebook Related