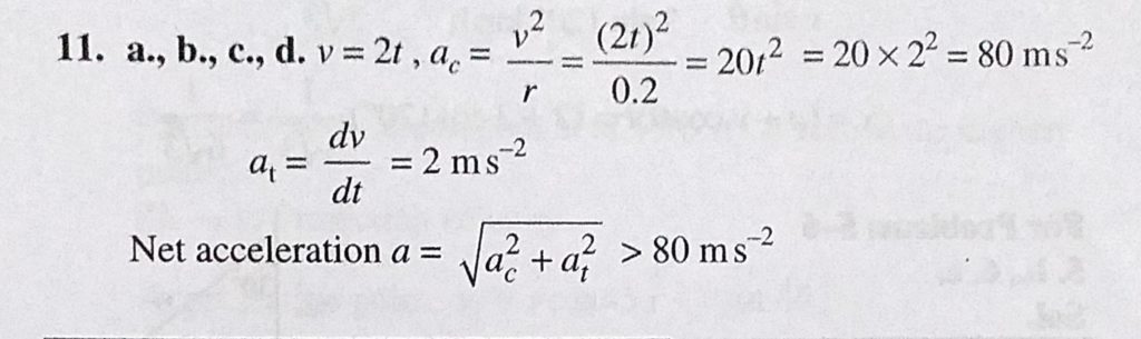
A particles moves in a circle of radius 20 cm. Its linear speed is given by v = 2t where t is in seconds and v in m/s. Then a. The radial acceleration at t = 2 s is 80 m/s^2. b. Tangential acceleration at t = 2 s is All the particles thrown with same initial velocity would strike the ground. a. with same speed b. simultaneously c. time would be least for the particle thrown with velocity v downward i.e. particle 1 September 24, 2020 Category: Uncategorised (JEE Advanced Physics by BM Sharma + GMP Solutions) , Facebook Messenger WhatsApp Share this:TwitterFacebook Related