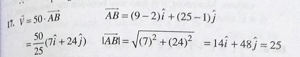
A particle whose speed is 50 m/s moves along the line from A (2,1) to b(9,25). Find the velocity vector in the form of ai + bj. 1) to b(9 25). Find the velocity vector in the form of ai + bj. A particle whose speed is 50 m/s moves along the line from A (2 September 17, 2020 Category: Uncategorised (JEE Advanced Physics by BM Sharma + GMP Solutions) , Facebook Messenger WhatsApp Share this:TwitterFacebook Related