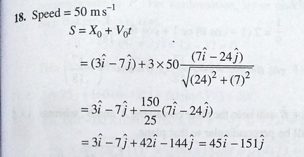
A particle travels with speed 50 m/s from the point (3, -7) in a direction 7i – 24 j. Find its position vector after 3 s. -7) in a direction 7i - 24 j. Find its position vector after 3 s. A particle travels with speed 50 m/s from the point (3 September 17, 2020 Category: Uncategorised (JEE Advanced Physics by BM Sharma + GMP Solutions) , Facebook Messenger WhatsApp Share this:TwitterFacebook Related