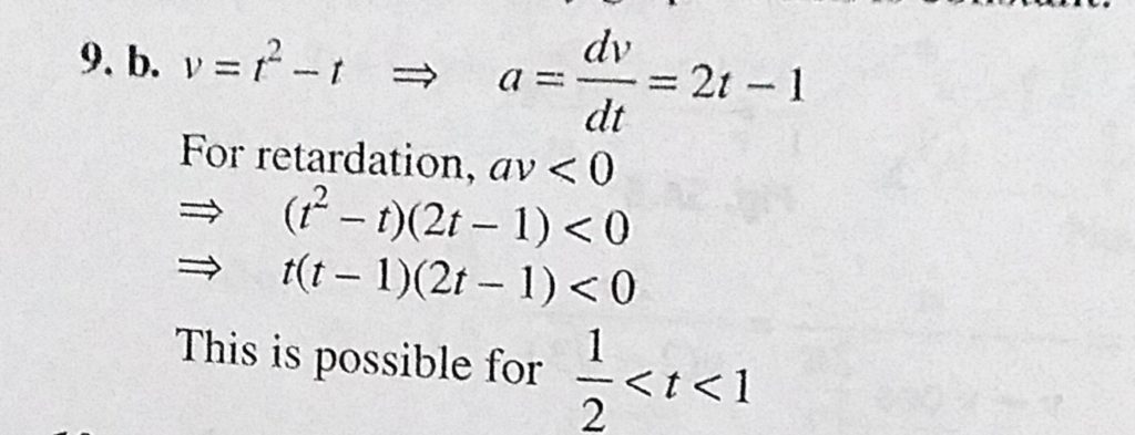
A particle starts moving rectilinearly at time = 0 such that its velocity v changes with time t according to the equation v = t^2 – t, where t is in seconds and v is in m/s. The time interval for which the particle retards is A particle starts moving rectilinearly at time = 0 such that its velocity v changes with time t according to the equation v = t^2 - t where t is in seconds and v is in m/s. The time interval for which the particle retards is September 24, 2020 Category: Uncategorised (JEE Advanced Physics by BM Sharma + GMP Solutions) , Facebook Messenger WhatsApp Share this:TwitterFacebook Related