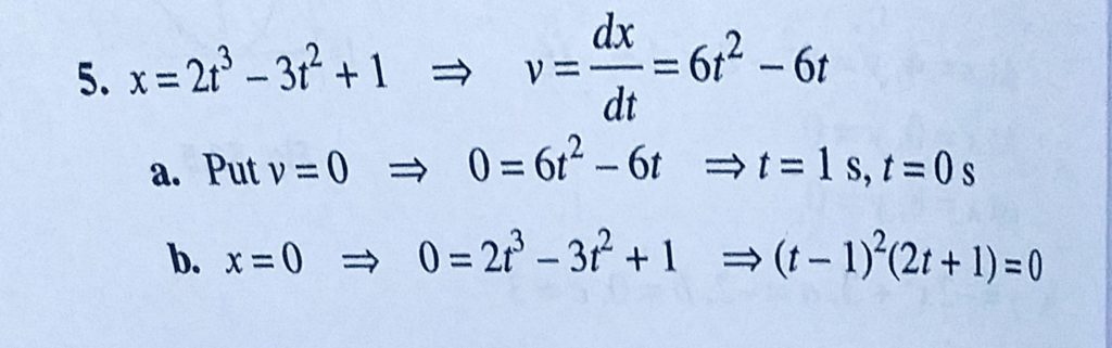
A particle starts moving along the x – axis from t = 0, its position varying with time as x = 2t^3 – 3t^2 + 1. a. At what time instants is its velocity zero? b. What is the velocity when it passes through the origin? A particle starts moving along the x - axis from t = 0 its position varying with time as x = 2t^3 - 3t^2 + 1. a. At what time instants is its velocity zero? b. What is the velocity when it passes through the origin? September 16, 2020 Category: Uncategorised (JEE Advanced Physics by BM Sharma + GMP Solutions) , Facebook Messenger WhatsApp Share this:TwitterFacebook Related