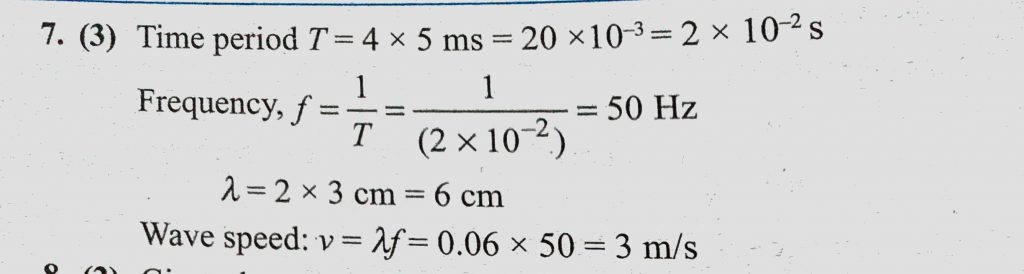
A particle on a stretched string supporting a travelling wave, takes 5.0 ms to move from its mean position to the extreme position. The distance between two consecutive particles, A particle on a stretched string supporting a travelling wave takes 5.0 ms to move from its mean position to the extreme position. The distance between two consecutive particles November 5, 2020 Category: Uncategorised (JEE Advanced Physics by BM Sharma + GMP Solutions) , Facebook Messenger WhatsApp Share this:TwitterFacebook Related