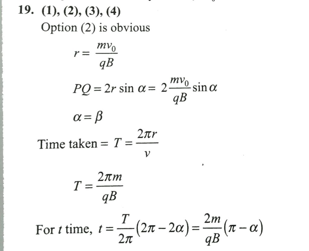
A particle of charge -q and ,mass m enters a uniform magnetic field B ( perpendicular to paper inward ) at P with a velocity v0 at an angle alpha and leaves the field at Q with velocity v at an angle beta as shown in figure. A particle of charge -q and mass m enters a uniform magnetic field B ( perpendicular to paper inward ) at P with a velocity v0 at an angle alpha and leaves the field at Q with velocity v at an angle beta as shown in figure. October 14, 2020 Category: Uncategorised (JEE Advanced Physics by BM Sharma + GMP Solutions) , Facebook Messenger WhatsApp Share this:TwitterFacebook Related