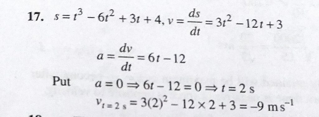
A particle moves along a straight line such that its displacement s at any time t is given by s = t^3 – 6t^2 + 3t + 4m, t being is second. Find the velocity of the particle when the acceleration A particle moves along a straight line such that its displacement s at any time t is given by s = t^3 - 6t^2 + 3t + 4m t being is second. Find the velocity of the particle when the acceleration September 16, 2020 Category: Uncategorised (JEE Advanced Physics by BM Sharma + GMP Solutions) , Facebook Messenger WhatsApp Share this:TwitterFacebook Related