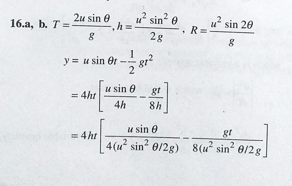
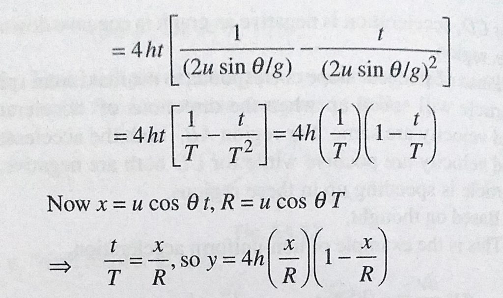
A particle is projected at an angle theta = 30 with the horizontal, If T is the total time of flight, h is the maximum height and R is the range for horizontal motion, the x and y coordinated of projectile motion and time t are related aswith a velocity of 10 m/s. Then a. After 2 s, the velocity of particle makes an angle of 60 with initial velocity vector.-duplicate-5


