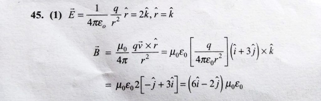
A particle is moving with velocity v = i + 3 j and it produces an electric field at a point given by E = 2 k. It will produce magnetic field field at that point equal to ( all quantities are in SI units ) carrying currents i1 and i2 are lying along x - and y - axes as shown in the x- y plane. Then Two infinite wires October 17, 2020 Category: Uncategorised (JEE Advanced Physics by BM Sharma + GMP Solutions) , Facebook Messenger WhatsApp Share this:TwitterFacebook Related