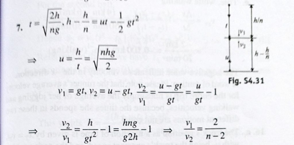
A particle is dropped from the top of a tower h metre high and at the same moment another particle is projected upward from the bottom. They meet when the upper one has descended a distance h/n. Show that the a second stone is dropped. Prove that the distance between the stones after time t A stone is let to fall from a balloon ascending with an acceleration f. After time t since the second stone is dropped September 18, 2020 Category: Uncategorised (JEE Advanced Physics by BM Sharma + GMP Solutions) , Facebook Messenger WhatsApp Share this:TwitterFacebook Related