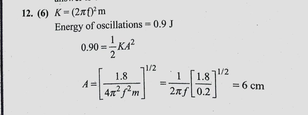
A particle executes SHM along x-axis with a frequency (25/pie ) Hz. The mass of the particle is 0.20 kg. At the position x = 0.04 m, the kinetic energy is 0.50 J and the potential energy A particle executes SHM along x-axis with a frequency (25/pie ) Hz. The mass of the particle is 0.20 kg. At the position x = 0.04 m the kinetic energy is 0.50 J and the potential energy October 31, 2020 Category: Uncategorised (JEE Advanced Physics by BM Sharma + GMP Solutions) , Facebook Messenger WhatsApp Share this:TwitterFacebook Related