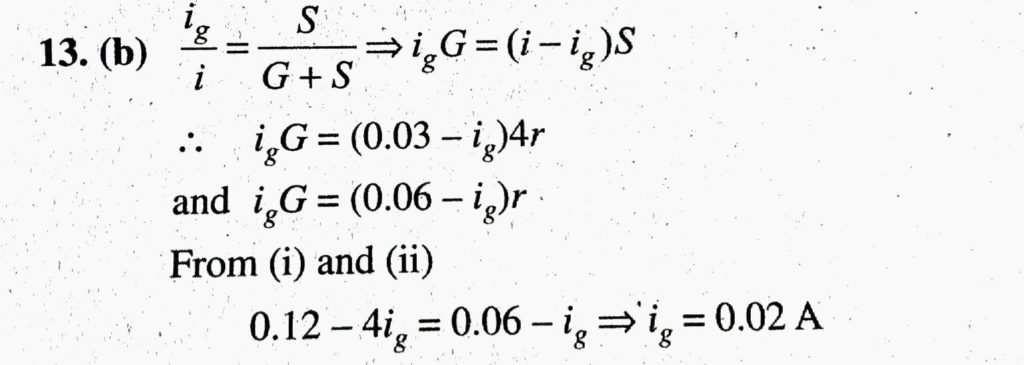
A moving coil galvanometer is converted into an ammeter reads up to 0.03 A by connecting a shunt of resistance 4r across it and ammeter reads up 0.06 A, when a shunt of resistance r is used. What is the maximum current which can be sent through this galvanometer if no shunt is used ?


