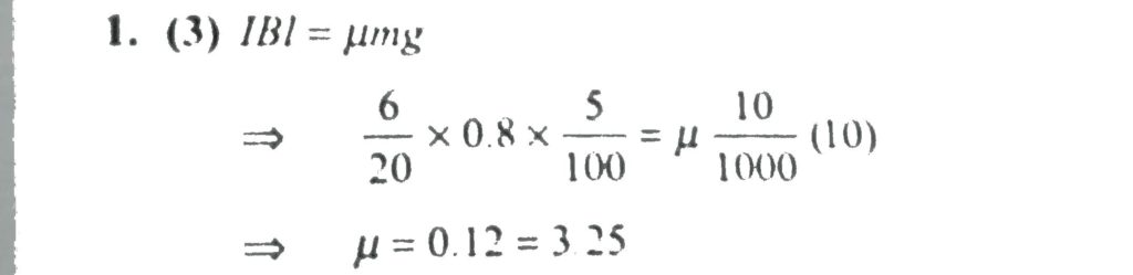
A metal wire PQ of mass 10 g lies at rest on two horizontal metal rails separated by 5 cm as shown in Fig. A vertically downward magnetic field of magnitude 0.80 T exist in the space. The resistance of the circuit is slowly decreased and it is found that when the resistance goes below 20.0 Ω the wire PQ starts sliding on the rails. The coefficient of friction between wires and rails is found. The coefficient of friction between wires and rails is found to be n/25. find n


