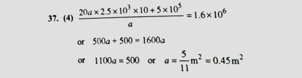
A massive stone pillar 20 m high and of uniform cross section rests on a rigid base and supports a vertical load of 5.0×10 ^ 5 N at its upper end. If the compressive stress in the pillar is not exceed 16 × 10 ^ 6 N/m, what is the minimum cross-sectional area of the pillar? ( Density of the stone= 2.5 × 10^3 kg/m^3 take g = 10 N/kg

