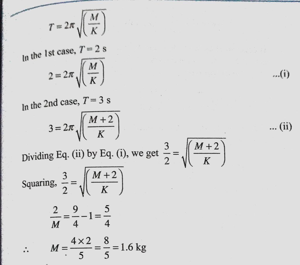
A mass M attached to a spring oscillates with a period of 2 s. If the mass is increased by 2 kg, the period increases by 1 s, find the initial mass M assuming that Hooke’s law is obeyed. A mass M attached to a spring oscillates with a period of 2 s. If the mass is increased by 2 kg find the initial mass M assuming that Hooke's law is obeyed. the period increases by 1 s October 30, 2020 Category: Uncategorised (JEE Advanced Physics by BM Sharma + GMP Solutions) , Facebook Messenger WhatsApp Share this:TwitterFacebook Related