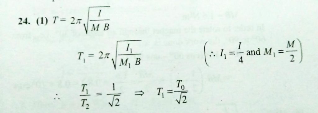
A magnet is cut into four equal parts by cutting it parallel to its length. what will be the time period of each part, if the time period of the original magnets in the same field is T0 ? A magnet is cut into four equal parts by cutting it parallel to its length. what will be the time period of each part if the time period of the original magnets in the same field is T0 ? October 18, 2020 Category: Uncategorised (JEE Advanced Physics by BM Sharma + GMP Solutions) , Facebook Messenger WhatsApp Share this:TwitterFacebook Related