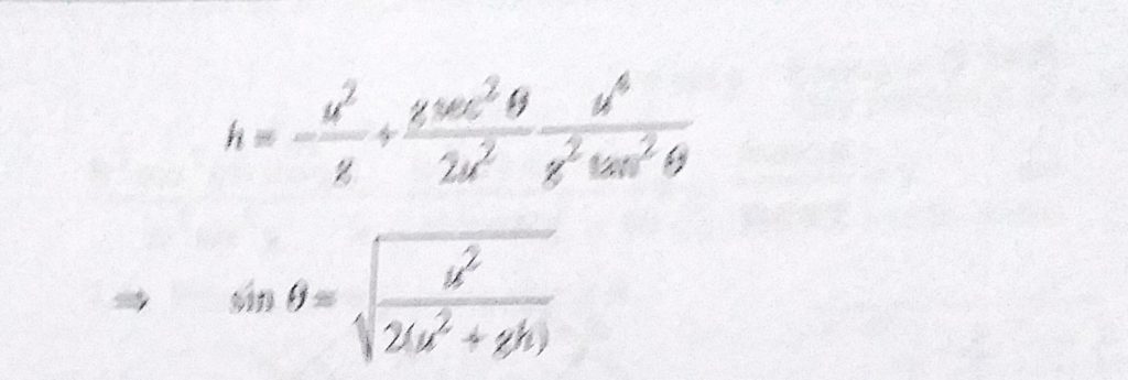
A machine gun is mountes on the top of a tower of height h. At what angle should the gun be inclined to cover a maximum range of firing on the ground below? The muzzle speed of A machine gun is mountes on the top of a tower of height h. At what angle should the gun be inclined to cover a maximum range of firing on the ground below? The muzzle speed of September 22, 2020 Category: Uncategorised (JEE Advanced Physics by BM Sharma + GMP Solutions) , Facebook Messenger WhatsApp Share this:TwitterFacebook Related