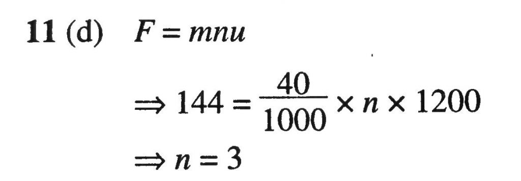
A machine gun fires a bullet of mass 40g with a velocity 1200m/s. The man holding it can exert a maximum force of 144N on the gun. How many bullets can be fire per second at the most? A machine gun fires a bullet of mass 40g with a velocity 1200m/s. The man holding it can exert a maximum force of 144N on the gun. How many bullets can be fire per second at the most? December 6, 2020 Category: Uncategorised (JEE Advanced Physics by BM Sharma + GMP Solutions) , Facebook Messenger WhatsApp Share this:TwitterFacebook Related