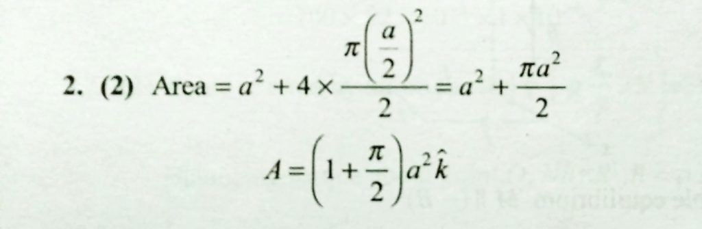
A loop carrying current I lies in the x – y plane as shown in figure. The unit vector K is comming out of the plane of the paper. The magnetic moment of the current loop is A loop carrying current I lies in the x - y plane as shown in figure. The unit vector K is comming out of the plane of the paper. The magnetic moment of the current loop is October 16, 2020 Category: Uncategorised (JEE Advanced Physics by BM Sharma + GMP Solutions) , Facebook Messenger WhatsApp Share this:TwitterFacebook Related