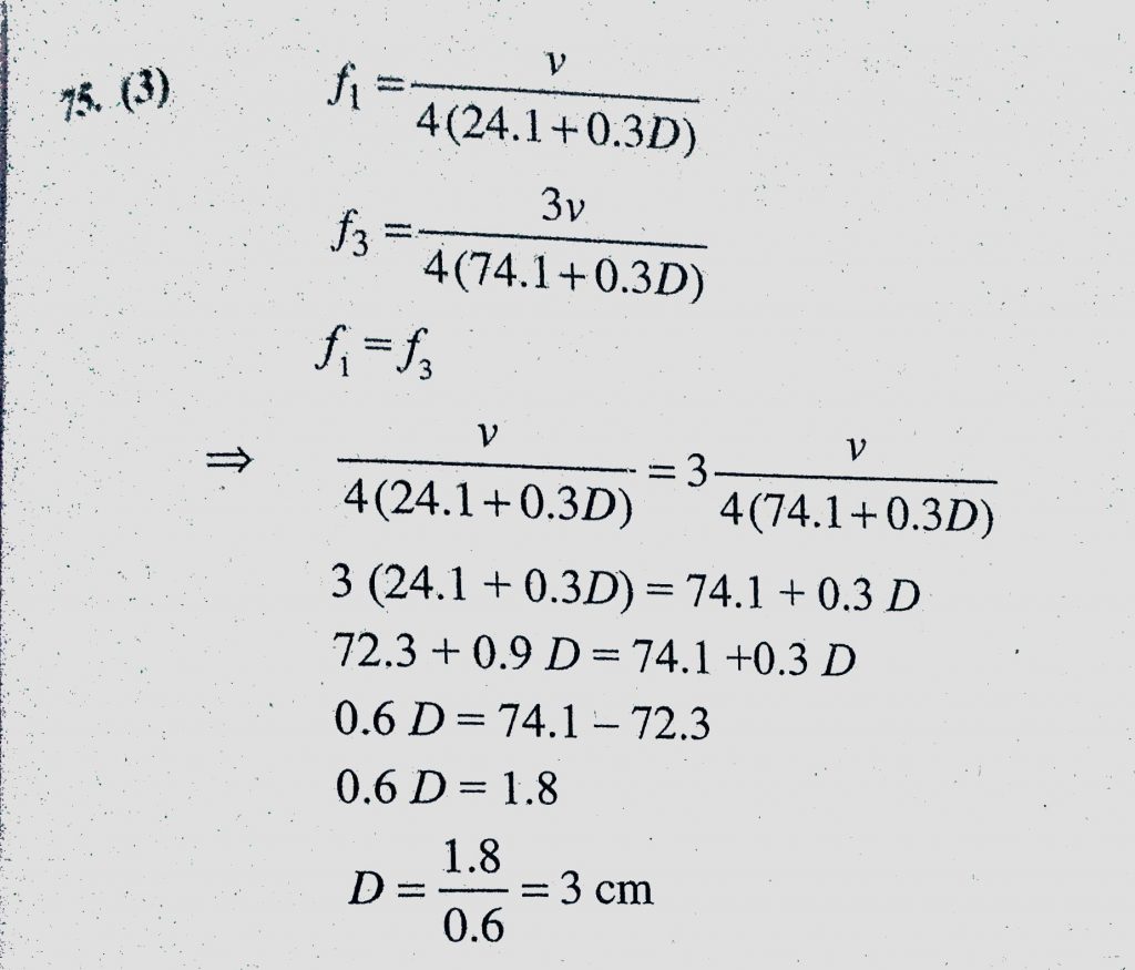
A long tube open at the top is fixed vertically and water level inside the tube can be moved up or down. A vibrating tuning fork is held above the open end and the water level A long tube open at the top is fixed vertically and water level inside the tube can be moved up or down. A vibrating tuning fork is held above the open end and the water level November 6, 2020 Category: Uncategorised (JEE Advanced Physics by BM Sharma + GMP Solutions) , Facebook Messenger WhatsApp Share this:TwitterFacebook Related