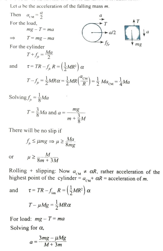
A load of mass m is attached to the end of a string wound on a cylinder of mass M and radius R. The string passes round a pulley. a. Find the acceleration of the cylinder M when it rolls. b. If the coefficient of friction is μ. Find the accelerative of the cylinder when it slips and rolls. c. Find the minimum value of coefficient of friction for which the cylinder rolls always


