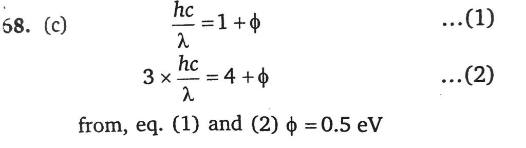
A light source of wavelength λ illuminates a metal and ejects photoelectron with (KE)max=1eV. Another light source of wave length λ/3, ejects photoelectrons from same metal with (KE)max=4eV. Find the value of work function (eV) of metal. A light source of wavelength λ illuminates a metal and ejects photoelectron with (KE)max=1eV. Another light source of wave length λ/3 ejects photoelectrons from same metal with (KE)max=4eV. Find the value of work function (eV) of metal. December 7, 2020 Category: Uncategorised (JEE Advanced Physics by BM Sharma + GMP Solutions) , Facebook Messenger WhatsApp Share this:TwitterFacebook Related