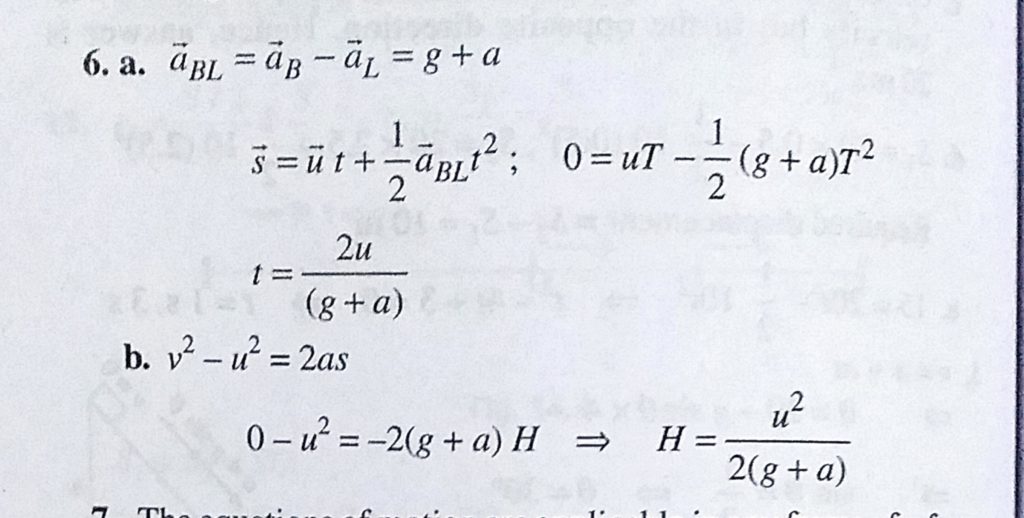
A lift is moving up with acceleration a. A person inside the lift throws the ball upwards with a velocity u relative to hand. a. What is the time of flight of the ball? b. What is the maximum height A lift is moving up with acceleration a. A person inside the lift throws the ball upwards with a velocity u relative to hand. a. What is the time of flight of the ball? b. What is the maximum height September 18, 2020 Category: Uncategorised (JEE Advanced Physics by BM Sharma + GMP Solutions) , Facebook Messenger WhatsApp Share this:TwitterFacebook Related