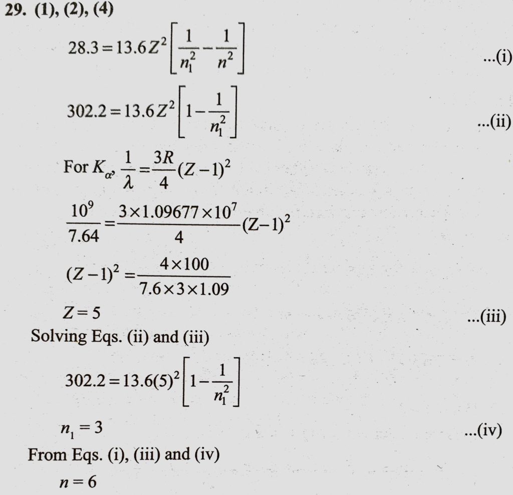
A hydrogen like atom is in higher excited state of quantum number n. This excited atom can make transition to the ground state by successively emitting two photon of energies 28.3 eV A hydrogen like atom is in higher excited state of quantum number n. This excited atom can make transition to the ground state by successively emitting two photon of energies 28.3 eV October 16, 2020 Category: Uncategorised (JEE Advanced Physics by BM Sharma + GMP Solutions) , Facebook Messenger WhatsApp Share this:TwitterFacebook Related